NDSRIs (Nitrosamine Drug Substance-Related Impurities) 単品標準品
ニトロソアミン類は、アミン窒素上の水素がニトロソ基に置換された構造を持つ化合物群で、一部の化合物は発がん性を持つことが知られています。
国内では厚生労働省より「医薬品におけるニトロソアミン類の混入リスクに関する自主点検について」が通達され、9種のニトロソアミン類の許容摂取量が定められていますが、最近ではそれらニトロソアミン類のほか、がん原性データがないものやニトロソアミン原薬関連不純物 (Nitrosamine Drug Substance-Related Impurities; NDSRIs) の検出も懸念されています。
当社では、さまざまな構造をもつニトロソアミン類の標準品・混合標準液を幅広く揃えております。
本ページではUSP社が販売するNDSRIs標準品をご紹介しています。※1,2
※1 本製品は局方標準品(JP、EP、USP)ではありません。
※2 その他単品標準品、混合標準液については下記ページをご確認ください。
USP社 NDSRIs 一覧
| 構造式 | 成分名 | CAS | 製造元 | メーカー コード |
容量 | 濃度 | API名 |
|---|---|---|---|---|---|---|---|
![]() |
N-Nitroso Atenolol | 134720-04-0 | USP | 1A04220 | 1 mL | 1 mg/mL in Methanol | Atenolol |
![]() |
N-Nitroso Atomoxetine | N/A | USP | 1A05430 | 1 mL | 1 mg/mL in Methanol | Atomoxetine |
![]() |
N-Nitroso Benazepril | N/A | USP | 1A05390 | 25 mg | - | Benazepril |
![]() |
N,N'-Dinitroso Benzathine | 69239-61-8 | USP | 1A09400 | 1 mL | 1 mg/mL in Methanol | Benzathine |
![]() |
N-Nitroso Biotin | 56859-26-8 | USP | 1A05320 | 1 mL | 1 mg/mL in Acetonitrile | Biotin |
![]() |
N-Nitroso Bisoprolol | 2820170-76-9 | USP | 1A04250 | 1 mL | 1 mg/mL in Methanol | Bisoprolol |
![]() |
N-Nitroso Bupropion | 2763780-10-3 | USP | 1A05350 | 1 mL | 1 mg/mL in Methanol | Bupropion |
| 1A05360 | 25 mg | - | |||||
![]() |
N-Nitroso Carvedilol | 2248746-67-8 | USP | 1A04210 | 1 mL | 1 mg/mL in Methanol | Carvedilol |
![]() |
N-Nitroso Desmethyl Chlorpheniramine | N/A | USP | 1A09700 | 1 mL | 1 mg/mL in Methanol | Chlorpheniramine |
![]() |
N-Nitroso Cinacalcet | 3036581-83-3 | USP | 1A08890 | 1 mL | 1 mg/mL in Methanol | Cinacalcet |
![]() |
N-Nitroso Dabigatran Etexilate | 2892260-29-4 | USP | 1A04040 | 1 mL | 1 mg/mL in Acetonitrile | Dabigatran |
| 1A04380 | 10 mg | - | |||||
![]() |
N-Nitroso Diclofenac | 66505-80-4 | USP | 1A05330 | 10 mg | - | Diclofenac |
![]() |
N-Nitroso Desmethyl Diltiazem | 3036581-85-5 | USP | 1A09800 | 1 mL | 1 mg/mL in Acetonitrile | Diltiazem |
![]() |
N-Nitroso Duloxetine | 2680527-91-5 | USP | 1A04000 | 1 mL | 1 mg/mL in Methanol | Duloxetine |
![]() |
N-Nitroso Ephedrine | 1850-61-9 | USP | 1A05160 | 1 mL | 1 mg/mL in Acetonitrile | Ephedrine |
![]() |
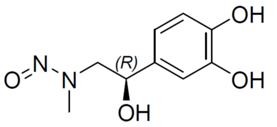
N-Nitroso Epinephrine | 3006789-99-4 | USP | 1A05170 | 1 mL | 1 mg/mL in Acetonitrile | Epinephrine |
![]() |
N-Nitroso Fluoxetine | 150494-06-7 | USP | 1A05220 | 1 mL | 1 mg/mL in Methanol | Fluoxetine |
![]() |
N-Nitroso Labetalol | 2820170-74-7 | USP | 1A04240 | 1 mL | 1 mg/mL in Methanol | Labetalol |
![]() |
N-Nitroso Landiolol | 3038740-98-3 | USP | 1A09080 | 1 mL | 1 mg/mL in Methanol | Landiolol |
![]() |
N-Nitroso Lisinopril | 519175-80-5 | USP | 1A05450 | 25 mg | - | Lisinopril |
![]() |
N-Nitroso Mefenamic Acid | 2114-63-8 | USP | 1A05210 | 25 mg | - | Mefenamic |
![]() |
N-Nitroso Metoprolol | 138768-62-4 | USP | 1A04200 | 1 mL | 1 mg/mL in Methanol | Metoprolol |
![]() |
N-Nitroso Nebivolol | 1391051-68-5 | USP | 1A05310 | 25 mg | - | Nebivolol |
![]() |
N-Nitroso Nortriptyline | 55855-42-0 | USP | 1A03980 | 1 mL | 1 mg/mL in Methanol | Nortriptyline/Amitriptyline |
![]() |
N-Nitroso Desmethyl Orphenadrine | N/A | USP | 1A05150 | 1 mL | 1 mg/mL in Methanol | Orphenadrine |
![]() |
N-Nitroso Paroxetine | 2361294-43-9 | USP | 1A05230 | 1 mL | 1 mg/mL in Methanol | Paroxetine |
| 1A05240 | 25 mg | - | |||||
![]() |
N-Nitroso Perindopril | N/A | USP | 1A09110 | 1 mL | 1 mg/mL in Acetonitrile | Perindopril |
![]() |
N-Nitroso Phenylephrine | 78658-64-7 | USP | 1A05260 | 1 mL | 1 mg/mL in Methanol | Phenylephrine |
![]() |
N-Nitroso Pramipexole | N/A | USP | 1A05270 | 1 mL | 1 mg/mL in Methanol | Pramipexole |
| 1A05280 | 25 mg | - | |||||
![]() |
N-Nitroso Propranolol | 84418-35-9 | USP | 1A04230 | 1 mL | 1 mg/mL in Methanol | Propranolol |
![]() |
N-Nitroso Quinapril | N/A | USP | 1A04180 | 1 mL | 1 mg/mL in Acetonitrile | Quinapril |
| 1A04450 | 10 mg | - | |||||
![]() |
N-Nitroso Rasagiline | 2470278-90-9 | USP | 1A04030 | 1 mL | 1 mg/mL in Methanol | Rasagiline |
![]() |
N-Nitroso Salmeterol | 3036581-81-1 | USP | 1A09140 | 1 mL | 1 mg/mL in Acetonitrile | Salmeterol |
![]() |
N-Nitroso Sertraline | 3006789-98-3 | USP | 1A09150 | 1 mL | 1 mg/mL in Methanol | Sertraline |
![]() |
N-Nitroso Sitagliptin Amine | 2892260-32-9 | USP | 1A03960 | 1 mL | 1 mg/mL in Methanol | Sitagliptin |
| 1A04360 | 10 mg | - | |||||
![]() |
N-Nitroso Tamsulosin | 2892260-31-8 | USP | 1A04050 | 1 mL | 1 mg/mL in Methanol | Tamsulosin |
| 1A04390 | 10 mg | - | |||||
![]() |
N-Nitroso Tetracaine | N/A | USP | 1A09170 | 1 mL | 1 mg/mL in Acetonitrile | Tetracaine |
![]() |
N-Nitroso Varenicline | 2755871-02-2 | USP | 1A03920 | 1 mL | 1 mg/mL in Methanol | Varenicline |
| 1A04350 | 10 mg | - |
製品一覧
- 項目をすべて開く
- 項目をすべて閉じる
- 掲載内容は本記事掲載時点の情報です。仕様変更などにより製品内容と実際のイメージが異なる場合があります。
- 掲載されている製品について
- 【試薬】
- 試験・研究の目的のみに使用されるものであり、「医薬品」、「食品」、「家庭用品」などとしては使用できません。
- 試験研究用以外にご使用された場合、いかなる保証も致しかねます。試験研究用以外の用途や原料にご使用希望の場合、弊社営業部門にお問合せください。
- 【医薬品原料】
- 製造専用医薬品及び医薬品添加物などを医薬品等の製造原料として製造業者向けに販売しています。製造専用医薬品(製品名に製造専用の表示があるもの)のご購入には、確認書が必要です。
- 表示している希望納入価格は「本体価格のみ」で消費税等は含まれておりません。
- 表示している希望納入価格は本記事掲載時点の価格です。
Share






































